Sunday, November 30, 2014

Transformasi Lorentz dan dimensi ke empat

Bagian 02 dari Topik Ruang-Waktu Minkowski

Cepat rambat cahaya di ruang hampa adalah c, sekitar 3.108 m/detik. Ini adalah sebuah hukum fisika. Pada gambar berikut, koordinat K diam dan koordinat K’ bergerak ke arah sumbu x positif dengan kecepatan v relatif terhadap K.

clip_image002

Dengan memegang teguh hukum cepat rambat cahaya di ruang hampa, pengamat di K dan pengamat di K’ harus melihat cahaya sama-sama merambat dengan kecepatan c. Transformasi Galileo jelas tidak kompatibel dengan prinsip ini.

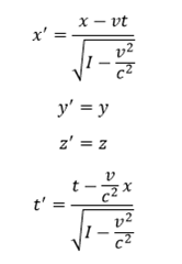
Persamaan transformasi berikut mendukung hukum cepat rambat cahaya di ruang hampa.

image

Sistem persamaan ini disebut transformasi Lorentz. Transformasi ini mengisyaratkan bahwa waktu t yang dialami pengamat koordinat K tidak sama dengan waktu t’ yang dialami pengamat di koordinat K’. Tiap koordinat memiliki waktunya sendiri bergantung seberapa cepat dia bergerak. Sistem persamaan ini juga mengisyaratkan bahwa cepat rambat cahaya c adalah batas kecepatan di alam semesta.

Mari kita coba membuktikan bahwa hukum cepat rambat cahaya di ruang hampa dapat berlaku di transformasi Lorentz ini.

Misal: suatu sinar dipancarkan ke arah sumbu x positif dengan kecepatan c, maka jarak yang ditempuh adalah

x = ct

Sekarang, kita gunakan persamaan transformasi Lorentz untuk menghitung x’ dan t’

image

dengan membagi x’ dengan t’ akan didapat c, dengan kata lain

x’ = ct’

sehingga menurut pengamat di K’ cahaya juga merambat dengan kecepatan c.

Kesimpulannya:

  • cepat rambat cahaya di ruang hampa adalah satu hukum fisika yang tetap, baik pengamat yang diam maupun bergerak akan sama-sama mendapati bahwa cahaya bergerak dengan kecepatan c
  • transformasi Galileo tidak kompatibel dengan hukum cepat rambat cahaya di ruang hampa, namun transformasi Lorentz bersesuaian dengannya karena transformasi ini memang dikembangkan berdasarkan hukum tersebut
  • dalam transformasi Lorentz, waktu bukan lagi bersifat absolut atau universal, melainkan setiap koordinat memiliki waktu tersendiri yang bergantung pada seberapa cepat dia bergerak

Referensi

Albert Einstein, 1920, Relativity: The Special and General Theory

No comments:

Post a Comment