Tulisan ringkas ini menjelaskan model matematik enam derajat kebebasan (six degree of freedom) suatu titik massa dalam frame Earth-Centered Earth Fixed.
Enam derajat kebebasan adalah tiga gerak translasi (X, Y, Z) dan tiga gerak rotasi (Roll, Pitch, dan Yaw).
Maksud dari Earth-Centered Earth Fixed (ECEF) adalah model matematik dalam tulisan ini menggunakan Bumi elips dan berotasi sebagai koordinat acuan.
Model matematik ini disusun berdasarkan dokumentasi MATLAB tentang blok Simulink 6-DOF ECEF Quaternion.
Vektor gaya gravitasi dalam koordinat North-East-Down (NED)
Vektor kecepatan translasi dalam koordinat Body
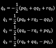
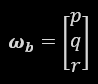
Vektor kecepatan rotasi dalam koordinat Body
Sudut serang (angle of attack)
Matriks transformasi koordinat ECEF ke koordinat North-East-Down (NED)
Matriks transformasi koordinat NED ke koordinat Body
Kecepatan angin dalam koordinat NED
Kecepatan angin dalam koordinat Body
Kecepatan titik massa yang dipengaruhi angin
Gaya yang bekerja pada titik massa, dalam koordinat Body
dimana S adalah luas penampang, CFX dan CFZ adalah koefisien aerodinamik di sumbu X dan Z.
Momen yang bekerja pada titik massa, dalam koordinat Body
dimana d adalah diameter, α sudut serang, dan CMYα adalah koefisien aerodinamik pitch.
Tekanan udara bebas
Matriks inersia titik massa dan turunannya
Vektor kecepatan rotasi Bumi dalam koordinat ECEF
Persamaan state untuk kecepatan sudut
Persamaan state untuk kecepatan translasi
Persamaan state untuk quaternion
Persamaan state untuk posisi dalam koordinat ECEF
REFERENSI
 
No comments:
Post a Comment